2型糖尿病
本剤は2型糖尿病に使用されている、選択的SGLT2阻害剤です。
クイックリンク
重要なお知らせ
このたび、選択的SGLT2阻害剤「ジャディアンス®錠10mg」(一般名:エンパグリフロジン)につきまして、「慢性腎臓病 ただし、末期腎不全又は透析施行中の患者を除く」に対する効能又は効果が追加承認されましたので、ご案内申し上げます。電子添文は こちらにてダウンロードしてください。
禁忌(次の患者には投与しないこと)
- 本剤の成分に対し過敏症の既往歴のある患者
- 重症ケトーシス、糖尿病性昏睡又は前昏睡の患者[輸液及びインスリンによる速やかな高血糖の是正が必須となるので本剤の投与は適さない。]
- 重症感染症、手術前後、重篤な外傷のある患者[糖尿病を有する患者ではインスリン注射による血糖管理が望まれるので本剤の投与は適さない。]
製品の主な特徴
| 製品名 | ジャディアンス®錠10mg/ジャディアンス®錠25mg |
| 区分 | 処方箋医薬品注) |
| 適応症 | 2型糖尿病 |
| 有効成分 | エンパグリフロジン |
注)注意-医師等の処方箋により使用すること
製品の基本情報
組成
| 販売名 | ジャディアンス錠10mg | ジャディアンス錠25mg |
| 有効成分 | 1錠中 エンパグリフロジン 10mg | 1錠中 エンパグリフロジン 25mg |
| 添加剤 | 乳糖水和物、結晶セルロース、ヒドロキシプロピルセルロース、クロスカルメロースナトリウム、軽質無水ケイ酸、ステアリン酸マグネシウム、ヒプロメロース、酸化チタン、タルク、マクロゴール400、黄色三二酸化鉄 | |
製剤の性状
| 販売名 | ジャディアンス錠10mg | ジャディアンス錠25mg |
| 剤形 | 淡黄色のフィルムコート錠 | |
| 外形 | ||
| 直径 | 9.1mm | 11.1×5.6mm |
| 厚さ | 3.65mm | 3.8mm |
| 重さ | 257mg | 206mg |
| 識別コード | ![]() S10 | ![]() S25 |
<ジャディアンス錠10mg・25mg>
2型糖尿病
<ジャディアンス錠10mg>
慢性心不全
ただし、慢性心不全の標準的な治療を受けている患者に限る。
慢性腎臓病
ただし、末期腎不全又は透析施行中の患者を除く。
<2型糖尿病>
- 本剤は2型糖尿病と診断された患者に対してのみ使用し、1型糖尿病の患者には投与をしないこと。
- 本剤の適用はあらかじめ糖尿病治療の基本である食事療法、運動療法を十分に行った上で効果が不十分な場合に限り考慮すること。
- 高度腎機能障害患者又は透析中の末期腎不全患者では本剤の血糖降下作用が期待できないため、投与しないこと。(「重要な基本的注意」、「腎機能障害患者」、「特定の背景を有する患者」の項参照)
- 中等度腎機能障害患者では本剤の血糖降下作用が十分に得られない可能性があるので投与の必要性を慎重に判断すること。(「重要な基本的注意」、「腎機能障害患者」、「特定の背景を有する患者」、「有効性及び安全性に関する試験」の項参照)
<慢性心不全>
- 「臨床成績」の項の内容を熟知し、臨床試験に組み入れられた患者の背景(前治療等)を十分に理解した上で、適応患者を選択すること。(「有効性及び安全性に関する試験」の項参照)
<慢性腎臓病>
- eGFRが20mL/min/1.73m2未満の患者では、本剤の腎保護作用が十分に得られない可能性があること、本剤投与中にeGFRが低下することがあり、腎機能障害が悪化するおそれがあることから、投与の必要性を慎重に判断すること。eGFRが20mL/min/1.73m2未満の患者を対象とした臨床試験は実施していない。(「重要な基本的注意」、「腎機能障害患者」、「有効性及び安全性に関する試験」の項参照)
- 「臨床成績」の項の内容を熟知し、臨床試験に組み入れられた患者の背景(原疾患、併用薬、腎機能等)を十分に理解した上で、慢性腎臓病に対するガイドラインにおける診断基準や重症度分類等を参考に、適応患者を選択すること。(「有効性及び安全性に関する試験」の項参照)
<2型糖尿病>
通常、成人にはエンパグリフロジンとして10mgを1日1回朝食前又は朝食後に経口投与する。なお、効果不十分な場合には、経過を十分に観察しながら25mg1日1回に増量することができる。
<慢性心不全、慢性腎臓病>
通常、成人にはエンパグリフロジンとして10mgを1日1回朝食前又は朝食後に経口投与する。
<慢性心不全、慢性腎臓病>
2型糖尿病を合併する患者では、血糖コントロールが不十分な場合には血糖コントロール改善を目的として本剤25mgに増量することができる。慢性心不全及び慢性腎臓病に対して本剤10mg1日1回を超える用量の有効性は確認されていないため、本剤10mgを上回る有効性を期待して本剤25mgを投与しないこと。
- 本剤の使用にあたっては、患者に対し低血糖症状及びその対処方法について十分説明すること。(「合併症・既往歴等のある患者」、「重大な副作用」の項参照)
- 本剤投与により、血清クレアチニンの上昇又はeGFRの低下がみられることがあるので、腎機能を定期的に検査すること。腎機能障害のある患者では経過を十分に観察し、特に高度の腎機能障害患者に本剤を投与する際には、腎機能障害の悪化に注意すること。2型糖尿病の血糖コントロール改善を目的として使用している患者においては、継続的にeGFRが45mL/min/1.73m2未満に低下した場合は投与の中止を検討すること。(「効能又は効果に関連する注意 」、「腎機能障害患者」の項参照)
- 2型糖尿病の血糖コントロール改善を目的として使用する場合、本剤投与中は、血糖を定期的に検査し、薬剤の効果を確かめ、本剤を3カ月投与しても効果が不十分な場合には他の治療法への変更を考慮すること。
- 尿路感染及び性器感染を起こし、腎盂腎炎、外陰部及び会陰部の壊死性筋膜炎(フルニエ壊疽)、敗血症等の重篤な感染症に至ることがある。十分な観察を行うなど尿路感染及び性器感染の発症に注意し、発症した場合には適切な処置を行うとともに、状態に応じて休薬等を考慮すること。尿路感染及び性器感染の症状及びその対処方法について患者に説明すること。(「合併症・既往歴等のある患者」、「重大な副作用」の項参照)
- 本剤の利尿作用により多尿・頻尿がみられることがある。また、体液量が減少することがあるので、適度な水分補給を行うよう指導し、観察を十分行うこと。脱水、血圧低下等の異常が認められた場合は、休薬や補液等の適切な処置を行うこと。特に体液量減少を起こしやすい患者(高齢者、腎機能障害患者、利尿薬併用患者等)においては、脱水や糖尿病性ケトアシドーシス、高浸透圧高血糖症候群、脳梗塞を含む血栓・塞栓症等の発現に注意すること。(「合併症・既往歴等のある患者」、「腎機能障害患者」、「高齢者」、「併用注意」、「重大な副作用」の項参照)
- 本剤の作用機序である尿中グルコース排泄促進作用により、血糖コントロールが良好であっても脂肪酸代謝が亢進し、ケトーシスがあらわれ、ケトアシドーシスに至ることがある。
著しい血糖の上昇を伴わない場合があるため、以下の点に留意すること。
(1)悪心・嘔吐、食欲減退、腹痛、過度な口渇、倦怠感、呼吸困難、意識障害等の症状が認められた場合には、血中又は尿中ケトン体測定を含む検査を実施すること。異常が認められた場合には投与を中止し、適切な処置を行うこと。
(2)特に、インスリン分泌能の低下、インスリン製剤の減量や中止、過度な糖質摂取制限、食事摂取不良、感染症、脱水を伴う場合にはケトアシドーシスを発現しやすいので、観察を十分に行うこと。
(3)患者に対し、以下の点を指導すること。
- ケトアシドーシスの症状(悪心・嘔吐、食欲減退、腹痛、過度な口渇、倦怠感、呼吸困難、意識障害等)。
- ケトアシドーシスの症状が認められた場合には直ちに医療機関を受診すること。
- 血糖値が高値でなくともケトアシドーシスが発現しうること。
- 本剤を含む SGLT2 阻害剤の投与中止後、血漿中半減期から予想されるより長く尿中グルコース排泄及びケトアシドーシスが持続した症例が報告されているため、必要に応じて尿糖を測定するなど観察を十分に行うこと。(「特定の背景を有する患者に関する注意」、「重大な副作用」の項参照)
- 排尿困難、無尿、乏尿あるいは尿閉の症状を呈する患者においては、その治療を優先するとともに他剤での治療を考慮すること。
- 本剤投与による体重減少が報告されているため、過度の体重減少に注意すること。
- 低血糖症状を起こすことがあるので、高所作業、自動車の運転等に従事している患者に投与するときは注意すること。(「重大な副作用」の項参照)
合併症・既往歴等のある患者
- 低血糖を起こすおそれのある以下に掲げる患者又は状態
- 脱水を起こしやすい患者(血糖コントロールが極めて不良の患者、高齢者、利尿剤併用患者等)
(「重要な基本的注意」、「併用注意」、「重大な副作用」の項参照) - 尿路感染、性器感染のある患者
症状を悪化させるおそれがある。(「重要な基本的注意」、「重大な副作用」の項参照) - 1型糖尿病を合併する慢性心不全患者及び慢性腎臓病患者
投与を避けること。ケトアシドーシスを起こすおそれがある。(「重要な基本的注意」、「重大な副作用」の項参照)
腎機能障害患者
<2型糖尿病>
- 高度腎機能障害患者又は透析中の末期腎不全患者
血糖コントロール改善を目的として投与しないこと。本剤の血糖降下作用が期待できない。(「効能又は効果に関連する注意 」、「重要な基本的注意」、「特定の背景を有する患者」の項参照) - 中等度腎機能障害患者
血糖コントロール改善を目的とした投与については、その必要性を慎重に判断すること。本剤の血糖降下作用が十分に得られない可能性がある。(「効能又は効果に関連する注意 」、「重要な基本的注意」、「特定の背景を有する患者」、「有効性及び安全性に関する試験」の項参照)
<慢性心不全>
- 高度腎機能障害患者
eGFRが20mL/min/1.73m2未満の患者では、投与の必要性を慎重に判断すること。本剤投与中にeGFRが低下することがあり、腎機能障害が悪化するおそれがある。eGFRが20mL/min/1.73m2未満の患者又は透析を要する腎機能障害患者を対象とした臨床試験は実施していない。
<慢性腎臓病>
- 高度腎機能障害患者
eGFRが20mL/min/1.73m2未満の患者では、投与の必要性を慎重に判断すること。eGFRが20mL/min/1.73m2未満の患者では、本剤の腎保護作用が十分に得られない可能性がある。また、本剤投与中にeGFRが低下することがあり、腎機能障害が悪化するおそれがある。eGFRが20mL/min/1.73m2未満の患者を対象とした臨床試験は実施していない。(「効能又は効果に関連する注意 」の項参照)
肝機能障害患者
- 高度肝機能障害患者
有効性及び安全性を指標とした臨床試験は実施していない。(「特定の背景を有する患者」の項参照)
妊婦
妊婦又は妊娠している可能性のある女性には、本剤を投与せず、2型糖尿病患者ではインスリン製剤等を使用すること。本剤の動物実験(ラット)で、ヒトの妊娠中期及び後期にあたる幼若動物への曝露により、腎盂及び尿細管の拡張が報告されている。また、動物実験(ラット)で胎児への移行が報告されている。
授乳婦
授乳しないことが望ましい。動物実験(ラット)で、乳汁中への移行が報告されている1)。
小児等
小児等を対象とした有効性及び安全性を指標とした臨床試験は実施していない。
高齢者
一般に生理機能が低下し、脱水症状(口渇等)の認知が遅れるおそれがある。(「重要な基本的注意」、「重大な副作用」の項参照)
- 75歳以上の高齢者
2型糖尿病を対象とした国内外の臨床試験の併合解析において、75歳以上の患者では75歳未満の患者と比較し、本剤25mg群で体液量減少の有害事象の発現割合が高かった。(「重要な基本的注意」の項参照)
本剤は投与後血漿中には主に未変化体として存在する2)が、一部はUGT2B7、UGT1A3、UGT1A8及びUGT1A9によるグルクロン酸抱合により代謝される3)(グルクロン酸抱合体として血漿中放射能の3.3~7.4%存在する)2)。また、本剤はP-糖蛋白(P-gp)の基質である4)。(「代謝」の項参照)
併用注意(併用に注意すること)
| 薬剤名等 | 臨床症状・措置方法 | 機序・危険因子 |
| 糖尿病用薬 スルホニルウレア剤 速効型インスリン分泌促進薬 α-グルコシダーゼ阻害薬 ビグアナイド系薬剤 チアゾリジン系薬剤 DPP-4阻害薬 GLP-1受容体作動薬 インスリン製剤等 (「重大な副作用」の項参照) | 低血糖が起こるおそれがある。特に、スルホニルウレア剤又はインスリン製剤と併用する場合にはスルホニルウレア剤又はインスリン製剤の減量を検討すること。 | 血糖降下作用が増強される。 |
| 血糖降下作用を増強する薬剤 β遮断薬 サリチル酸剤 モノアミン酸化酵素阻害剤等 | 血糖値その他患者の状態を十分観察しながら投与すること。 | |
| 血糖降下作用を減弱する薬剤 アドレナリン 副腎皮質ホルモン 甲状腺ホルモン等 | 血糖降下作用が減弱される。 | |
| 利尿薬 チアジド系薬剤 ループ利尿薬等 (「重要な基本的注意」、「合併症・既往歴等のある患者」、「重大な副作用」、「薬物相互作用」の項参照) | 必要に応じ利尿薬の用量を調整するなど注意すること。 | 利尿作用が増強されるおそれがある。 |
| リチウム製剤 炭酸リチウム | リチウムの作用が減弱されるおそれがある。 | リチウムの腎排泄を促進することにより、血清リチウム濃度が低下する可能性がある。 |
次の副作用があらわれることがあるので、観察を十分に行い、異常が認められた場合には投与を中止するなど適切な処置を行うこと。
重大な副作用
- 低血糖(1.4%)
低血糖があらわれることがある。低血糖症状が認められた場合には、糖質を含む食品を摂取するなど適切な処置を行うこととし、α-グルコシダーゼ阻害薬との併用時にはブドウ糖を投与すること。(「重要な基本的注意」、「合併症・既往歴等のある患者」、「併用注意」、「有効性及び安全性に関する試験」の項参照) - 脱水(0.3%)
口渇、多尿、頻尿、血圧低下等の症状があらわれ脱水が疑われる場合には、休薬や補液等の適切な処置を行うこと。脱水に引き続き脳梗塞を含む血栓・塞栓症等を発現した例が報告されている。(「重要な基本的注意」、「合併症・既往歴等のある患者」、「腎機能障害患者」、「高齢者」、「併用注意」の項参照) - ケトアシドーシス(0.1%未満)
ケトアシドーシス(糖尿病性ケトアシドーシスを含む)があらわれることがある。(「重要な基本的注意」、「合併症・既往歴等のある患者」の項参照) - 腎盂腎炎(0.1%未満)、外陰部及び会陰部の壊死性筋膜炎(フルニエ壊疽)(0.1%未満)、敗血症(0.1%未満)
腎盂腎炎、外陰部及び会陰部の壊死性筋膜炎(フルニエ壊疽)があらわれ、敗血症(敗血症性ショックを含む)に至ることがある。(「重要な基本的注意」、「合併症・既往歴等のある患者」の項参照)
その他の副作用
| 0.1~5% | 0.1%未満 | |
| 感染症 | 尿路感染、膀胱炎、外陰部腟カンジダ症、無症候性細菌尿 | 外陰部腟炎、細菌性腟炎、トリコモナス症 |
| 生殖系障害 | 亀頭包皮炎、陰部そう痒症 | 亀頭炎、外陰腟そう痒症、外陰腟不快感、包茎 |
| 代謝及び栄養障害 | 高脂血症 | 体液量減少 |
| 血液及びリンパ系障害 | 血液濃縮 | |
| 神経障害 | めまい | 味覚異常 |
| 胃腸障害 | 便秘 | 腹部膨満 |
| 皮膚及び皮下組織障害 | そう痒症、発疹 | 湿疹、じん麻疹 |
| 腎及び尿路障害 | 頻尿、多尿、排尿困難 | 尿量増加、尿意切迫 |
| 一般・全身障害 | 口渇 | 空腹感 |
| 臨床検査 | 体重減少 | 血中ケトン体陽性、尿中ケトン体陽性 |
本剤の作用機序により、本剤服用中は尿糖陽性、血清1,5-AG(1,5-アンヒドログルシトール)低値を示す。尿糖及び血清1,5-AGの検査結果は、血糖コントロールの参考とはならないので注意すること。
薬剤交付時の注意
PTP包装の薬剤はPTPシートから取り出して服用するよう指導すること。PTPシートの誤飲により、硬い鋭角部が食道粘膜へ刺入し、更には穿孔を起こして縦隔洞炎等の重篤な合併症を併発することが報告されている。
非臨床試験に基づく情報
- 雌雄マウスを用いた2年間反復投与がん原性試験(100、300及び1000mg/kg/日)において、1000mg/kg/日の雄で腎腫瘍の発生頻度の増加が認められた。
- 雌雄ラットを用いた2年間反復投与がん原性試験(100、300及び700mg/kg/日)において、300mg/kg/日以上の雄で精巣に間細胞腫、700mg/kg/日の雄で腸間膜リンパ節の血管腫の発生頻度の増加が認められた。
- マウスに本剤1000mg/kg/日(雄)及びラットに本剤300mg/kg/日(雄)を反復経口投与したときの曝露量(AUC0-24h)は、最大臨床推奨用量(1日1回25mg)のそれぞれ約33倍及び約19倍であった。
血漿中濃度
単回投与
日本人健康成人男性に、エンパグリフロジン1、5、10、25、100mgを空腹時単回経口投与したとき注)の血漿中未変化体の血漿中濃度推移を図1に、薬物動態パラメータを表1に示す5)。
図1 健康成人男性に空腹時単回経口投与後の平均血漿中濃度推移(算術平均値+標準偏差)
表1 健康成人男性に空腹時単回経口投与後の血漿中薬物動態パラメータ
| パラメータ名 [単位] | 1mg n=6 | 5mg n=6 | 10mg n=6 | 25mg n=6 | 100mg n=6 |
| AUC0-∞ [nM・h] | 266 (23.1) | 1140 (10.2) | 2670 (10.6) | 6180 (13.4) | 22800 (25.5) |
| Cmax [nM] | 36.6 (23.9) | 166 (26.6) | 379 (19.4) | 661 (10.4) | 2980 (31.2) |
| tmax [h] | 1.25 (1.00-2.00) | 2.00 (0.750-2.00) | 1.50 (1.00-3.00) | 2.00 (1.00-4.00) | 2.50 (0.750-4.00) |
| t1/2 [h] | 7.76 (13.9) | 9.60 (19.9) | 9.88 (29.7) | 11.7 (30.1) | 11.6 (31.9) |
算術平均値(変動係数%)、tmaxは中央値(最小値-最大値)
反復投与
日本人2型糖尿病患者に、エンパグリフロジン10mg及び25mgを空腹時1日1回28日間反復経口投与したときの血漿中濃度推移を図2、薬物動態パラメータを表2に示す。Cmax及びAUCτから算出した累積係数は1.33以下であった。6)
外国人健康成人男性(16例)にエンパグリフロジン50mgを1日1回経口投与した場合注)、エンパグリフロジンの血漿中濃度は5回目の投与までに定常状態に達した7)。(外国人データ)
図2 2型糖尿病患者に10mg及び25mgを空腹時反復経口投与後の平均血漿中濃度推移(算術平均値+標準偏差、投与1日目n=20及び19、投与28日目n=18及び17)
表2 2型糖尿病患者に空腹時反復経口投与後の血漿中薬物動態パラメータ
| AUCτ,ss [nM・h] | Cmax,ss [nM] | tmax,ss [h] | t1/2,ss [h] | |
| 10mg (n=18) | 2610 (16.2) | 407 (25.8) | 1.50 (0.967-4.00) | 14.3 (38.3) |
| 25mg (n=17) | 6460 (21.1) | 869 (30.2) | 1.50 (0.967-6.00) | 18.0 (40.7) |
算術平均値(変動係数%)、tmaxは中央値(最小値―最大値)
吸収
バイオアベイラビリティ
エンパグリフロジンの絶対バイオアベイラビリティの検討は行っていない。
食事の影響
健康成人に、エンパグリフロジン25mgを単回経口投与したとき、空腹時投与に対する食後投与のCmax及びAUC0-∞の幾何平均値の比(食後投与/空腹時投与)とその90%信頼区間は、63.2[56.7,70.4]%及び84.0[80.9,87.3]%であった。空腹時投与に比べてtmaxの中央値は1.5時間延長した(表3)。8)(外国人データ)
表3 健康成人に25mgを空腹時及び食後に単回経口投与後の薬物動態パラメータ
| パラメータ名[単位] | 空腹時 n=18 | 食後 n=17 |
| AUC0-∞[nM・h] | 5550(26.0) | 4650(24.8) |
| Cmax [nM] | 867(26.8) | 542(27.7) |
| tmax[h] | 1.00(0.667-4.00) | 2.50(0.667-4.00) |
算術平均値(変動係数%)、tmaxは中央値(最小値–最大値)
分布
日本人2型糖尿病患者(腎機能正常、8例)にエンパグリフロジン25mgを単回経口投与したときのエンパグリフロジンの血漿蛋白結合率は84.7%であった9)。
外国人健康成人男性(8例)に14C-エンパグリフロジン50mg溶液を経口投与したとき注)の血球/血漿の放射能濃度の分布比は28.6~36.8%であった10)(外国人データ)。
代謝
(「相互作用」の項参照)
ヒトの肝ミクロソーム及び単離肝細胞を用いてエンパグリフロジンの代謝を評価した結果、エンパグリフロジンはほとんど代謝を受けなかった11)。主たる代謝物の生成にはUGT2B7、UGT1A3、UGT1A8及びUGT1A9が関与しており、CYP酵素の関与はほとんどなかった3),11)。
エンパグリフロジンはヒト肝ミクロソームのCYP1A2、2B6、2C8、2C9、2C19、2D6、3A4を阻害しなかった12),13)。酵素誘導試験においてCYP1A2、2B6、3A4の誘導はみられなかった14)。(in vitro データ)
健康成人男性に14C-エンパグリフロジン50mg溶液を経口投与したとき注)(8例)、血漿中には主に未変化体が認められ(血漿中放射能に対する割合は75%超)、主な代謝物はグルクロン酸抱合体であった(血漿中放射能に対する割合は約3.3~7.4%)2)(外国人データ)。
排泄
日本人健康成人男性(各6例)にエンパグリフロジン10mg及び25mgを単回経口投与したときの投与後72時間までの尿中未変化体排泄率はそれぞれ投与量の21.3%及び22.9%、腎クリアランスはそれぞれ29.9mL/min及び34.8mL/minであった5)。
健康成人男性(8例)に14C-エンパグリフロジン50mg溶液を単回経口投与したとき注)、投与放射能の約54.4%が尿中に、約41.2%が糞中に排泄された。尿及び糞中に排泄された放射能に対する未変化体の割合はそれぞれ43.5%及び82.9%であった。2)(外国人データ)
エンパグリフロジンはP-gp、BCRP、OAT3、OATP1B1及びOATP1B3の基質であった。また、エンパグリフロジンはBCRP、OAT3、OATP1B1及びOATP1B3に対して弱い阻害作用(IC50値:各114、295、71.8、58.6μM)を示したが、P-gpに対して阻害作用を示さなかった。4),15),16)(in vitroデータ)
特定の背景を有する患者
腎機能障害患者
日本人腎機能正常及び軽度、中等度、高度腎機能障害の2型糖尿病患者にエンパグリフロジン25mg単回経口投与を行った(表4)。単回投与後の薬物動態パラメータの正常腎機能患者に対する幾何平均値の比とその90%信頼区間は、軽度、中等度、高度腎機能障害患者でそれぞれCmaxについて、93.5[72.2,121]%、92.2[71.2,119]%、94.0[72.6,122]%であり、AUC0-∞について129[106,157]%、144[118,175]%、152[125,185]%であった。投与後24時間までの尿中グルコース排泄量(UGE0-24h)のベースラインからの変化量は腎機能の低下とともに減少した。9)
外国人末期腎不全患者(8例)にエンパグリフロジン50mg注)単回経口投与を行った場合、Cmax及びAUC0-∞の正常腎機能患者に対する幾何平均値の比とその90%信頼区間は、104[81.2,133]%及び148[120,183]%であった。UGE0-24hのベースラインからの変化量の平均値(標準誤差)は0.78(0.90)gであった。17)(外国人データ)(「効能又は効果に関連する注意」、「腎機能障害患者」の項参照)
表4 正常腎機能患者及び腎機能障害患者に25mg単回経口投与後の薬物動態/薬力学パラメータ
| パラメータ名 [単位] | 正常 腎機能†1) n=8 | 軽度 腎機能障害†1) n=8 | 中等度 腎機能障害†1) n=8 | 高度 腎機能障害†1) n=8 |
| AUC0-∞ [nM・h] | 7560(14.9) | 9730(14.7) | 10800(9.18) | 12200(40.1) |
| Cmax[nM] | 1070(18.1) | 1030(34.4) | 1000(26.4) | 1070(42.3) |
| tmax†2)[h] | 2.50(1.00-2.50) | 2.50(1.00-4.00) | 2.50(0.667-6.00) | 3.25(1.00-6.00) |
| fe0-24h[%] | 16.5(18.5) | 14.3†3)(20.9) | 11.4(28.7) | 4.24(41.3) |
| CLR,0-24h[mL/min] | 23.8(24.3) | 16.8†3)(23.8) | 13.5(33.3) | 4.67(42.3) |
| UGE0-24h†5)[g] | 75.0(4.84) | 62.6†4)(5.75) | 57.9(4.86) | 23.7†3)(5.24) |
平均値(変動係数%)
†1)正常腎機能:推定糸球体濾過量(eGFR)≥90mL/min/1.73m2
軽度腎機能障害:eGFR 60~<90mL/min/1.73m2
中等度腎機能障害:eGFR 30~<60mL/min/1.73m2
高度腎機能障害:eGFR 15~<30mL/min/1.73m2
†2)中央値(最小値-最大値)
†3)n=7
†4)n=6
†5)投与後24時間までの尿中グルコース排泄量のベースラインからの変化量の調整平均値(標準誤差)
肝機能障害者
肝機能正常被験者(n=12)及び軽度(Child-Pughスコア5又は6、n=8)、中等度(Child-Pughスコア7~9、n=8)、高度(Child-Pughスコア10~15、n=8)肝機能障害者にエンパグリフロジン50mg単回経口投与を行った注)。単回投与後の薬物動態パラメータの肝機能正常被験者に対する幾何平均値の比とその90%信頼区間は、軽度、中等度及び高度肝機能障害者でそれぞれCmaxについて104[82.3,131]%、123[97.7,156]%、148[118,187]%であり、AUC0-∞について123[98.9,153]%、147[118,183]%、175[140,218]%であった。18)( 外国人データ)(「肝機能障害患者」の項参照)
高齢者
2型糖尿病患者3208例(日本人患者628例を含む)を用いた母集団薬物動態解析の結果、年齢が50歳の場合に比べてAUCτ,ssは65歳では8.00%、75歳では12.5%高くなると予測された19)。
薬物相互作用
ゲムフィブロジルとの併用
健康成人(18例)にゲムフィブロジル(OATP1B1、OAT3及びCYP2C8の阻害剤)600mg1日2回(1200mg/日)5日間反復経口投与し、ゲムフィブロジル投与開始後3日目にエンパグリフロジン25mgを単回経口併用投与した場合、エンパグリフロジンの単独投与時に対する併用投与時の幾何平均値の比とその90%信頼区間はAUC0-∞で159[152,166]%、Cmaxで115[106,125]%であった20)(外国人データ)。
リファンピシンとの併用
健康成人(18例)にエンパグリフロジン10mgと、リファンピシン(OATP1B1及びOATP1B3の阻害剤)600mgを単回経口併用投与した場合、エンパグリフロジンの単独投与時に対する併用投与時の幾何平均値の比とその90%信頼区間はAUC0-∞で135[130,141]%、Cmaxで175[160,192]%であった21)(外国人データ)。
プロベネシドとの併用
健康成人(16例)にプロベネシド(OAT3及びUGTの阻害剤)500mgを1日2回4日間反復経口投与し、プロベネシド投与開始後2日目にエンパグリフロジン10mgを単回経口併用投与した場合、エンパグリフロジンの単独投与時に対する併用投与時の幾何平均値の比とその90%信頼区間はAUC0-∞で153[146,161]%、Cmaxで126[114,139]%であった21)(外国人データ)。
その他の薬剤との併用
エンパグリフロジンの薬物動態はメトホルミン22)、グリメピリド(CYP2C9で代謝される)7)、ピオグリタゾン(CYP2C8及び3A4で代謝される)23),24)、シタグリプチン25)、リナグリプチン26)、ワルファリン(CYP2C9の基質)27)、ベラパミル(P-糖蛋白阻害剤)28)、ラミプリル28)、シンバスタチン(CYP3A4の基質)29)、利尿薬(ヒドロクロロチアジド及びトラセミド)30)との併用による影響はみられなかった(表5)。また、エンパグリフロジンの併用によるメトホルミン22)、グリメピリド7)、ピオグリタゾン23),24)、シタグリプチン25)、リナグリプチン26)、ワルファリン27)、ジゴキシン28)、ラミプリル28)、シンバスタチン29)、利尿薬(ヒドロクロロチアジド及びトラセミド)30)、経口避妊薬(エチニルエストラジオール及びレボノルゲストレル)31)の薬物動態への臨床的に問題となる影響はみられなかった(表6)。(外国人データ)(「併用注意」の項参照)
表5 エンパグリフロジンの薬物動態に及ぼす併用薬の影響
| 併用薬 | 併用薬 用量 | 本剤 用量 | 薬物動態パラメータ 幾何平均値の比(%) (90%信頼区間) 併用/単独 | |
| AUCτ,ss | Cmax,ss | |||
| メトホルミン | 1000mg 1日2回 | 50mg注) 1日1回 | 96.9 (92.3,102) | 100 (88.8,114) |
| グリメピリド | 1mg 単回 | 50mg 1日1回 | 95.2 (92.0,98.5) | 95.6 (88.2,103) |
| ピオグリタゾン | 45mg 1日1回 | 50mg 1日1回 | 100 (96.1,105) | 93.4 (85.1,103) |
| シタグリプチン | 100mg 1日1回 | 50mg 1日1回 | 110 (104,117) | 108 (97.0,119) |
| リナグリプチン | 5mg | 50mg 1日1回 | 102 (96.5,107) | 88.3 (78.8,98.9) |
| ワルファリン | 25mg 単回 | 25mg 1日1回 | 101 (96.9,105) | 101 (89.8,113) |
| ベラパミル | 120mg 単回 | 25mg 単回†) | 103 (98.9,107) | 92.4 (85.4,100) |
| ラミプリル | 5mg 1日1回 | 25mg 1日1回 | 96.6 (93.1,100) | 105 (97.7,112) |
| シンバスタチン | 40mg 単回 | 25mg 単回†) | 102 (98.9,105) | 109 (96.9,124) |
| ヒドロクロロチアジド | 25mg | 25mg 1日1回 | 107 (97.1,118) | 103 (88.6,119) |
| トラセミド | 5mg 1日1回 | 25mg | 108 (100,116) | 108 (97.9,118) |
†)単回投与での評価のためAUC0-∞,Cmaxから計算
表6 併用薬の薬物動態に及ぼすエンパグリフロジンの影響
| 併用薬 | 併用薬 用量 | 本剤 用量 | 薬物動態パラメータ 幾何平均値の比(%) (90%信頼区間) 併用/単独 | |
| AUCτ,ss | Cmax,ss | |||
| メトホルミン | 1000mg 1日2回 | 50mg 1日1回 | 101 (95.9,106) | 104 (96.5,111) |
| グリメピリド | 1mg 単回†) | 50mg 1日1回 | 93.3 (86.1,101) | 104 (89.5,121) |
| ピオグリタゾン | 45mg 1日1回 | 10mg 1日1回 | ピオグリタゾン | |
| 90.0 (77.9,104) | 87.7 (73.9,104) | |||
| ピオグリタゾン M-Ⅲ | ||||
| 99.4 (87.4,113) | 95.7 (77.3,119) | |||
| ピオグリタゾン M-Ⅳ | ||||
| 95.0 (85.3,106) | 92.6 (77.3,111) | |||
| 25mg 1日1回 | ピオグリタゾン | |||
| 89.0 (72.7,109) | 90.2 (66.8,122) | |||
| ピオグリタゾン M-Ⅲ | ||||
| 99.5 (89.1,111) | 104 (80.8,133) | |||
| ピオグリタゾン M-Ⅳ | ||||
| 101 (91.6,111) | 113 (90.8,139) | |||
| ピオグリタゾン | 45mg 1日1回 | 50mg 1日1回 | ピオグリタゾン | |
| 91.1 (77.4,107) | 89.9 (71.0,114) | |||
| ピオグリタゾン M-Ⅲ | ||||
| 98.9 (90.7,108) | 91.9 (77.1,110) | |||
| ピオグリタゾン M-Ⅳ | ||||
| 96.1 (91.9,101) | 89.0 (76.5,103) | |||
| シタグリプチン | 100mg 1日1回 | 50mg 1日1回 | 103 (99.0,107) | 109 (101,117) |
| リナグリプチン | 5mg 1日1回 | 50mg 1日1回 | 103 (96.1,111) | 102 (86.9,119) |
| ワルファリン | 25mg 単回†) | 25mg 1日1回 | R-ワルファリン | |
| 98.5 (95.3,102) | 97.9 (91.1,105) | |||
| S-ワルファリン | ||||
| 95.9 (93.4,98.4) | 98.9 (91.8,106) | |||
| ジゴキシン | 0.5mg 単回†) | 25mg 1日1回 | 106 (96.7,116) | 114 (99.3,131) |
| ラミプリル | 5mg 1日1回 | 25mg 1日1回 | ラミプリル | |
| 108 (101,116) | 104 (89.7,120) | |||
| ラミプリラート | ||||
| 98.7 (96.0,101) | 98.3 (92.7,104) | |||
| シンバスタチン | 40mg 単回†) | 25mg 単回 | シンバスタチン | |
| 101 (80.1,128) | 97.2 (76.3,124) | |||
| シンバスタチン酸 | ||||
| 105 (90.1,122) | 97.3 (84.9,111) | |||
| ヒドロクロロチアジド | 25mg 1日1回 | 25mg 1日1回 | 96.3 (89.1,104) | 102 (88.6,117) |
| トラセミド | 5mg 1日1回 | 25mg 1日1回 | トラセミド | |
| 101 (99.1,104) | 104 (93.8,116) | |||
| トラセミド-M1 | ||||
| 104 (100,109) | 103 (94.1,112) | |||
| トラセミド-M3 | ||||
| 103 (95.9,111) | 102 (97.7,107) | |||
| エチニルエストラジオール | 30μg 1日1回 | 25mg 1日1回 | 103 (97.6,108) | 99.2 (93.4,105) |
| レボノルゲストレル | 150μg 1日1回 | 25mg 1日1回 | 102 (98.5,105) | 106 (99.5,113) |
†)単回投与での評価のためAUC0-∞,Cmaxから計算
注)本剤の承認最大用量は25mgである。
有効性及び安全性に関する試験
<2型糖尿病>
国内第Ⅱ相試験
食事、運動療法を実施したにもかかわらず血糖コントロールが不十分な日本人の2型糖尿病患者を対象に、本剤5mg、10mg、25mg又は50mgを1日1回12週間経口投与した注)プラセボ対照二重盲検による用量反応試験を行った。HbA1c(主要評価項目:NGSP値)の投与前値からの調整平均変化量は下表のとおりであり、本剤10mg及び25mgはいずれの項目においてもプラセボ投与群と比べ有意な差が認められた。32)
HbA1c(NGSP値)(%) | |||
| 投与前値 | 投与前値からの変化量 | プラセボとの差 | |
| プラセボ群 (n=109) | 7.94 | 0.30(0.09) | - |
| 10mg群 (n=109) | 7.93 | -0.40(0.09) | -0.70(0.08) |
| 25mg群 (n=109) | 7.93 | -0.65(0.09) | -0.95(0.08) |
n:ランダム化された症例数
投与前値からの変化量及びプラセボとの差:調整平均変化量(SE)
(ANCOVA:LOCF)
上述の試験で、本剤10mg又は25mgを服用して12週間投与した患者は、同一用量及び用法で合計52週間の長期投与を行った。その結果、HbA1cの投与前値からの調整平均変化量は下表のとおりであり、いずれにおいてもその効果は持続していた。
低血糖の副作用発現割合は、本剤10mgで1.8%(2/109例)、本剤25mgで2.8%(3/109例)であった。32)
HbA1c(NGSP値)(%) | ||
投与前値 | 投与前値からの変化量 | |
| 10mg群(n=109) | 7.92 | -0.67(0.09) |
| 25mg群(n=109) | 7.92 | -0.86(0.09) |
n:ランダム化された症例数
投与前値からの変化量:調整平均変化量(SE)
(ANCOVA:OC)
52週間投与における副作用の発現割合は、本剤10mgで19.3%(21/109例)、本剤25mgで18.3%(20/109例)であった。本剤10mgでの主な副作用は尿路感染3.7%(4/109例)、亀頭炎及び体重減少2.8%(3/109例)であり、低血糖は1.8%(2/109例)であった。本剤25mgでの主な副作用は頻尿6.4%(7/109例)、便秘3.7%(4/109例)、口渇及び体重減少3.7%(4/109例)であり、低血糖は2.8%(3/109例)であった。32)
国際共同第Ⅲ相試験
食事、運動療法を実施したにもかかわらず血糖コントロールが不十分な外国人及び日本人の2型糖尿病患者を対象に、本剤10mg、25mg、シタグリプチン又はプラセボを1日1回24週間経口投与したプラセボ対照二重盲検比較試験を行った。HbA1c(主要評価項目:NGSP値)及び空腹時血糖の投与前値からの調整平均変化量は下表のとおりであり、本剤10mg及び25mgはいずれの項目においてもプラセボ投与群と比べ有意な差が認められた。体重の投与前値からの調整平均変化量のプラセボとの差は、本剤10mg及び25mgでそれぞれ-1.93kg及び-2.15kgであった。
副作用の発現割合は、プラセボで6.8%(15/221例)、本剤10mgで10.1%(22/217例)、本剤25mgで17.6%(38/216例)であった。主な副作用は、本剤10mgでは頻尿、多尿、口渇でいずれも1.4%(3/217例)、本剤25mgでは口渇2.8%(6/216例)、頻尿1.9%(4/216例)、多尿及び尿路感染1.4%(3/216例)であり、低血糖の副作用発現割合は、プラセボで0.5%(1/221例)、本剤10mgで0.5%(1/217例)、本剤25mgで0.5%(1/216例)であった。33)
| HbA1c(NGSP値)(%) | 空腹時血糖(mg/dL) | ||||||
| 投与前値 | 投与前値からの変化量 | プラセボとの差 | 投与前値からの変化量 | プラセボとの差 | |||
プラセボ群 (n=219、うち日本人41) | 7.92 | 0.08(0.05) | - | 11.7(2.0) | - | ||
10mg群 (n=216、うち日本人43) | 7.89 | -0.65(0.05) | -0.74(0.07) | -19.4(2.0) | -31.1(2.9) | ||
25mg群 (n=216、うち日本人45) | 7.86 | -0.76(0.05) | -0.85(0.07) | -24.3(2.0) | -36.0(2.9) | ||
n:ランダム化された症例数
投与前値からの変化量及びプラセボとの差:調整平均変化量(SE)
(ANCOVA:LOCF)
上述の試験で、本剤10mg又は25mgを服用して24週間投与した患者は、同一用量及び用法で延長試験に移行した。先行試験と合わせて合計52週間(中間解析)の投与を行った。その結果、HbA1c及び空腹時血糖の投与前値からの調整平均変化量は下表のとおりであり、いずれにおいてもその効果は持続しており、投与52週時ではいずれの項目においてもプラセボ投与群と比べ有意な差が認められた。体重の投与前値からの調整平均変化量のプラセボとの差は、本剤10mg及び25mgでそれぞれ-1.42kg及び-2.53kgであり、その体重減少作用は52週間にわたって持続していた。
52週間投与における副作用の発現割合は、プラセボで10.0%(22/221例)、本剤10mgで14.3%(31/217例)、本剤25mgで18.5%(40/216例)であった。主な副作用は、本剤10mgでは頻尿及び尿路感染1.8%(4/217例)、多尿及び口渇1.4%(3/217例)、本剤25mgでは口渇2.8%(6/216例)、頻尿2.3%(5/216例)、多尿1.9%(4/216例)であり、低血糖の副作用発現割合は、プラセボで0.5%(1/221例)、本剤10mgで0.5%(1/217例)、本剤25mgで0.5%(1/216例)であった。34)
| HbA1c(NGSP値)(%) | 空腹時血糖(mg/dL) | ||||||||
| 投与前値 | 投与前値からの変化量 | プラセボとの差 | 投与前値からの変化量 | プラセボとの差 | |||||
プラセボ群 (n=219、うち日本人41) | 7.92 | 0.10(0.05) | - | 11.8(2.0) | - | ||||
10mg群 (n=216、うち日本人43) | 7.89 | -0.66(0.05) | -0.76(0.08) | -18.2(2.0) | -30.1(2.9) | ||||
25mg群 (n=216、うち日本人45) | 7.86 | -0.81(0.05) | -0.91(0.08) | -23.9(2.0) | -35.7(2.9) | ||||
n:ランダム化された症例数
投与前値からの変化量及びプラセボとの差:調整平均変化量(SE)
(ANCOVA:LOCF)
国内第Ⅲ相試験
既存の経口血糖降下薬であるスルホニルウレア剤、ビグアナイド系薬剤、チアゾリジン系薬剤、DPP-4阻害剤、α-グルコシダーゼ阻害剤又は速効型インスリン分泌促進剤による治療にもかかわらず血糖コントロールが不十分な日本人2型糖尿病患者に本剤10mg又は25mgを1日1回52週間併用経口投与した時の安全性及び有効性を評価した。その結果、HbA1cの投与前値からの調整平均変化量は下表のとおりであり、いずれにおいてもその効果は持続していた。
本剤10mg及び25mgにおける副作用の発現割合は、スルホニルウレア剤併用時でそれぞれ14.0%(19/136例)及び18.2%(25/137例)、ビグアナイド系薬剤併用時でそれぞれ19.1%(13/68例)及び13.8%(9/65例)、チアゾリジン系薬剤併用時でそれぞれ14.6%(20/137例)及び14.0%(19/136例)、DPP-4阻害剤併用時でそれぞれ13.2%(9/68例)及び25.4%(18/71例)、α-グルコシダーゼ阻害剤併用時でそれぞれ10.1%(7/69例)及び7.1%(5/70例)、速効型インスリン分泌促進剤併用時でそれぞれ12.9%(9/70例)及び12.9%(9/70例)であり、主な副作用は、頻尿0.0%~9.9%、夜間頻尿0.0%~4.2%であった。低血糖の副作用発現割合は、スルホニルウレア剤併用時でそれぞれ6.6%(9/136例)及び7.3%(10/137例)、ビグアナイド系薬剤併用時でそれぞれ1.5%(1/68例)及び4.6%(3/65例)、チアゾリジン系薬剤併用時でそれぞれ0.7%(1/137例)及び0.7%(1/136例)、DPP-4阻害剤併用時でそれぞれ0.0%(0/68例)及び4.2%(3/71例)、α-グルコシダーゼ阻害剤併用時でそれぞれ0.0%(0/69例)及び0.0%(0/70例)、速効型インスリン分泌促進剤併用時でそれぞれ0.0%(0/70例)及び4.3%(3/70例)であった。35)(「重大な副作用」の項参照)
| 併用薬剤 | 本剤の投与量(n) | HbA1c(NGSP値)(%) | |
| 投与前値 | 投与前値からの変化量 | ||
| スルホニルウレア剤 | 10mg(n=136) | 7.99 | -0.93(0.05) |
25mg(n=137) | 8.06 | -0.96(0.05) | |
| ビグアナイド系薬剤 | 10mg(n=68) | 7.68 | -0.81(0.06) |
25mg(n=65) | 7.51 | -0.98(0.06) | |
| チアゾリジン系薬剤 | 10mg(n=137) | 7.85 | -0.90(0.05) |
25mg(n=136) | 7.95 | -0.96(0.05) | |
| DPP-4阻害剤 | 10mg(n=68) | 7.78 | -1.00(0.06) |
25mg(n=71) | 7.82 | -0.83(0.06) | |
| α-グルコシダーゼ阻害剤 | 10mg(n=69) | 7.78 | -0.87(0.06) |
25mg(n=70) | 7.56 | -0.77(0.06) | |
| 速効型インスリン分泌促進剤 | 10mg(n=70) | 8.01 | -0.98(0.08) |
25mg(n=70) | 7.98 | -0.98(0.08) | |
n:ランダム化された症例数
投与前値からの変化量:調整平均変化量(SE)
(ANCOVA:LOCF)
腎機能低下2型糖尿病患者を対象とした国際共同第Ⅲ相試験
腎機能障害を有する2型糖尿病患者に、本剤10mg又は25mgを1日1回52週間経口投与したプラセボ対照二重盲検比較試験を行った。投与24週時のHbA1c(主要評価項目:NGSP値)の投与前値からの調整平均変化量は下表のとおりであり、本剤10mgは軽度腎機能障害患者(eGFR 60mL/min/1.73m2以上90mL/min/1.73m2未満)で、本剤25mgは軽度腎機能障害患者及び中等度腎機能障害患者(eGFR 45mL/min/1.73m2以上60mL/min/1.73m2未満)において、いずれもプラセボ投与群と比べ有意な差が認められた。
投与52週後における副作用発現割合は、プラセボ群で27.3%(87/319例)、本剤10mgで37.0%(37/100例)、本剤25mgで31.5%(101/321例)であり、主な副作用は低血糖(プラセボ:14.4%(46/319例)、10mg投与群:16.0%(16/100例)、25mg投与群:15.9%(51/321例))及び尿路感染(プラセボ:5.6%(18/319例)、10mg投与群:5.0%(5/100例)、25mg投与群:4.7%(15/321例))であった。36)(外国人データ)(「効能又は効果に関連する注意 」、「腎機能障害患者」の項参照)
軽度腎機能障害患者(eGFR 60mL/min/1.73m2以上90mL/min/1.73m2未満)
HbA1c(NGSP値)(%) | |||
| 投与前値 | 投与前値からの変化量 | プラセボとの差 | |
| プラセボ群 (n=95) | 8.09 | 0.06(0.07) | - |
| 10mg群 (n=98) | 8.02 | -0.46(0.07) | -0.52(0.10) |
| 25mg群 (n=97) | 7.96 | -0.63(0.07) | -0.68(0.10) |
n:ランダム化された症例数
投与前値からの変化量及びプラセボとの差:調整平均変化量(SE)
(ANCOVA:LOCF)
中等度腎機能障害患者(eGFR 45mL/min/1.73m2以上60mL/min/1.73m2未満)
HbA1c(NGSP値)(%) | |||
| 投与前値 | 投与前値からの変化量 | プラセボとの差 | |
| プラセボ群 (n=89) | 8.08 | -0.08(0.07) | - |
| 25mg群 (n=91) | 8.12 | -0.54(0.07) | -0.46(0.10) |
n:ランダム化された症例数
投与前値からの変化量及びプラセボとの差:調整平均変化量(SE)
(ANCOVA:LOCF)
<慢性心不全>
左室駆出率が低下した慢性心不全患者を対象とした国際共同第Ⅲ相試験(EMPEROR-Reduced試験)
左室駆出率が低下した慢性心不全患者(LVEF40%以下、NYHA心機能分類Ⅱ~Ⅳ度、eGFRが20mL/min/1.73m2以上)に、本剤10mgを他の慢性心不全治療(忍容性のある範囲でACE阻害薬、ARB、ARNi、β遮断薬やMRA等)に上乗せして1日1回経口投与したプラセボ対照二重盲検比較試験を行った。日本人266例を含む3730例がランダム化され(本剤10mg:1863例(うち日本人144例)、プラセボ:1867例(うち日本人122例))、投与/追跡期間の中央値は本剤10mgで1.19年/1.30年、プラセボで1.17年/1.32年であった。なお、2型糖尿病患者注)は本剤10mg群で927例(うち日本人70例)、プラセボ群で929例(うち日本人52例)、2型糖尿病非合併患者は本剤10mg群で936例(うち日本人74例)、プラセボ群で938例(うち日本人70例)であった。
注) 糖尿病の病歴がある、又は治験薬投与前のHbA1cが6.5%以上である患者
主要複合評価項目は心血管死、又は心不全による入院のいずれかの初回発現までの期間とし、結果は下表のとおりであった。
本剤10mg群 | プラセボ群 | ハザード比†1) | |
N(発現割合%) | |||
| 心血管死又は心不全による入院(初回) | 361 (19.4) | 462 (24.7) | 0.75 (0.65, 0.86)†2) |
| 心血管死 | 187 (10.0) | 202 (10.8) | 0.92 (0.75, 1.12) |
| 心不全による入院(初回) | 246 (13.2) | 342 (18.3) | 0.69 (0.59, 0.81) |
n:ランダム化された症例数
†1): 投与群、地域(アジア、ヨーロッパ、ラテンアメリカ、北米、その他)、ベースラインの糖尿病状態(糖尿病、前糖尿病、非糖尿病)、年齢、性別、ベースラインのLVEF(≦30%、>30%~≦35%、>35%)、ベースラインのeGFRを因子として含めたCox回帰分析
†2): 中間解析により減少した両側α=0.0496に基づき、95.04%信頼区間を掲示
本試験における副作用発現割合は、本剤10mgで15.2%(283/1863例)、プラセボで12.2%(227/1863例)であり、主な副作用は低血圧(10mg:2.3%(43/1863例)、プラセボ:1.8%(34/1863例))であった。なお、他者による介助を必要とする重度の低血糖は2型糖尿病を合併した患者においてのみ認められた。37)(「効能又は効果に関連する注意 」の項参照)
左室駆出率が保たれた慢性心不全患者を対象とした国際共同第Ⅲ相試験(EMPEROR-Preserved試験)
左室駆出率が保たれた慢性心不全患者(LVEF40%超、NYHA心機能分類Ⅱ~Ⅳ度、eGFRが20mL/min/1.73m2以上)に、本剤10mgを1日1回経口投与したプラセボ対照二重盲検比較試験を行った。本試験では心不全治療薬としてACE阻害薬、ARB、ARNi、β遮断薬、MRA等が投与されていた患者が組み入れられた。日本人417例を含む5988例がランダム化され(本剤10mg:2997例(うち日本人212例)、プラセボ:2991例(うち日本人205例))、投与/追跡期間の中央値は本剤10mgで1.91年/2.15年、プラセボで1.92年/2.15年であった。なお、糖尿病合併患者注)は本剤10mgで1466例(うち日本人72例)、プラセボで1472例(うち日本人70例)、糖尿病非合併患者は本剤10mgで1531例(うち日本人140例)、プラセボで1519例(うち日本人135例)であった。
注) 糖尿病の病歴がある、又は治験薬投与前のHbA1cが6.5%以上である患者
主要複合評価項目は心血管死、又は心不全による入院のいずれかの初回発現までの期間とし、結果は下表のとおりであった。
本剤10mg群(n=2997) | プラセボ群(n=2991) | ハザード比†1) | |
N(発現割合%) | |||
| 心血管死又は心不全による入院(初回) | 415 (13.8) | 511 (17.1) | 0.79(0.69, 0.90)†2) |
| 心血管死 | 219 (7.3) | 244 (8.2) | 0.91(0.76, 1.09) |
| 心不全による入院(初回) | 259 (8.6) | 352 (11.8) | 0.71(0.60, 0.83) |
n:ランダム化された症例数
†1): 投与群、地域(アジア、ヨーロッパ、ラテンアメリカ、北米、その他)、ベースラインの糖尿病状態(糖尿病、前糖尿病、非糖尿病)、年齢、性別、ベースラインのLVEF、ベースラインのeGFRを因子として含めたCox回帰分析
†2): 中間解析により減少した両側α=0.0497に基づき、95.03%信頼区間を提示
本試験における副作用発現割合は、本剤10mgで16.5%(494/2996例)、プラセボで13.8%(413/2989例)であり、主な副作用は尿路感染(10mg:3.1%(94/2996例)、プラセボ:2.4%(71/2989例))であった。38)(「効能又は効果に関連する注意 」の項参照)
<慢性腎臓病>
慢性腎臓病患者を対象とした国際共同第Ⅲ相試験(EMPA-KIDNEY 試験)
慢性腎臓病患者(スクリーニング時及びその3カ月以上前に試験実施医療機関で測定したeGFRが20以上45mL/min/1.73m2未満、又はeGFRが45以上90mL/min/1.73m2未満かつUACRが200mg/g以上)注1)に、本剤10mgを1日1回経口投与したプラセボ対照二重盲検比較試験を行った。本試験では忍容性がない場合等を除いて、ACE阻害薬又はARB等のRAS阻害剤を適切な用量で使用している患者を対象とし、本剤投与中に透析が必要となった場合でも本剤投与は継続可とした。日本人584例を含む6581例がランダム化され(本剤10mg:3292例(うち日本人292例)、プラセボ:3289例(うち日本人292例))、投与/追跡期間の中央値は本剤10mg群で1.79年/2.00年、プラセボ群で1.77年/2.00年であった。なお、糖尿病合併患者注2)は本剤10mg群で1514例(うち日本人124例)、プラセボ群で1503例(うち日本人143例)、糖尿病非合併患者は本剤10mg群で1778例(うち日本人168例)、プラセボ群で1786例(うち日本人149例)であった。
主要複合評価項目は腎疾患進行注3)又は心血管死のいずれかの初回発現までの期間であり、結果は下表のとおり、本剤10mg群はプラセボ群と比べ有意な差が認められた。
本剤10mg群 | プラセボ群 | ハザード比 | |
発現割合%(例数) | |||
| 腎疾患進行 又は心血管死 | 13.1% | 16.8% | 0.73 (0.59,0.89) |
n:ランダム化された症例数
†1): 投与群、年齢、性別、糖尿病合併の有無、スクリーニング時のeGFR、スクリーニング時のUACR及び地理的地域を説明変数としたCox比例ハザードモデルにより推定。信頼区間は優越性検定で用いられた両側有意水準0.0017に対応。
†2): 末期腎不全47例、eGFRが10mL/min/1.73m2未満に持続的に低下かつ40%以上持続的に低下43例、eGFRが10mL/min/1.73m2未満に持続的に低下のみ1例、eGFRが40%以上持続的に低下のみ291例、腎疾患による死亡0例
†3): 末期腎不全62例、eGFRが10mL/min/1.73m2未満に持続的に低下かつ40%以上持続的に低下67例、eGFRが10mL/min/1.73m2未満に持続的に低下のみ1例、eGFRが40%以上持続的に低下のみ369例、腎疾患による死亡0例
なお、ベースラインのUACR別の主要複合評価項目の部分集団解析結果(ハザード比(95%信頼区間))は、30mg/g未満の集団(本剤10mg:42/664例、プラセボ:42/663例)で1.01(0.66,1.55)、30以上300mg/g以下の集団(本剤10mg:67/926例、プラセボ:78/936例)で0.91(0.65,1.26)、300mg/g超の集団(本剤10mg:321/1702例、プラセボ:433/1690例)で0.68(0.59,0.78)であった。
本試験における副作用発現割合注4)は、本剤10mg群で2.4%(79/3292例)、プラセボ群で1.8%(59/3289例)であり、主な副作用は低血糖(本剤10mg群:0.3%(11/3292例)、プラセボ群:0.4%(13/3289例))であった。39)(「効能又は効果に関連する注意 」の項参照)
注1)ランダム割付時(中央測定)に、eGFRが20mL/min/1.73m²未満であった253例(うち日本人17例)の患者を含む
注2)糖尿病の病歴がある、血糖降下薬の使用、又はベースラインのHbA1cが6.6%以上である患者
注3)主要複合評価項目の腎疾患進行は、eGFRの40%以上の持続的な低下、末期腎不全(慢性透析療法又は腎移植)への進展、eGFRが10mL/min/1.73m2未満に持続的に低下、腎疾患による死亡と定義した。
注4)本試験においては、有害事象は事前に規定した非重篤有害事象及び全ての重篤な有害事象に限定して収集した。
製造販売後調査等
<2型糖尿病>
GLP-1受容体作動薬との併用療法長期投与試験(国内製造販売後臨床試験)
GLP-1受容体作動薬による治療にもかかわらず血糖コントロールが不十分な日本人2型糖尿病患者に本剤10mg又は25mgを1日1回52週間併用経口投与した時の安全性及び有効性を評価した。投与52週におけるHbA1cの投与前値からの調整平均変化量は下表のとおりであった。本剤10mg及び25mgにおける低血糖の副作用発現割合は、それぞれ0.0%(0/32例)及び3.0%(1/33例)であった。39)
| 併用薬剤 | 本剤の投与量(n) | HbA1c(NGSP値)(%) | |
| 投与前値 | 投与前値からの変化量 | ||
| GLP-1受容体作動薬 | 10mg(n=32) | 8.83 | -0.55(0.15) |
25mg(n=33) | 8.68 | -0.77(0.14) | |
n:ランダム化された症例数
投与前値からの変化量:調整平均変化量(SE)
(MMRM:OC)
インスリン製剤との併用療法長期投与試験(国内製造販売後臨床試験)
インスリン製剤による治療にもかかわらず血糖コントロール不十分な日本人2型糖尿病患者を対象に一定用量のインスリンに本剤10mg、25mgを1日1回52週間併用投与したプラセボ対照二重盲検比較試験を行った。投与16週におけるHbA1cの投与前値からの調整平均変化量は下表のとおりであり、本剤10mg、25mgはいずれもプラセボ投与群に比べて有意な差が認められた。40)
HbA1c(NGSP値)(%) | |||
| 投与前値 | 16週時の投与前値からの変化量 | プラセボとの差 | |
| プラセボ群(n=90) | 8.70 | 0.00(0.07) | ― |
| 10mg群(n=86) | 8.83 | -0.92(0.07) | -0.92(0.09) |
| 25mg群(n=90) | 8.74 | -1.00(0.07) | -1.00(0.09) |
n:ランダム化された症例数
投与前値からの変化量及びプラセボとの差:調整平均変化量(SE)
(ANCOVA: LOCF)
また、その後インスリンの用量を調節可として52週まで継続投与し、長期の安全性及び有効性をプラセボと比較検討した。52週におけるHbA1cの投与前値からの調整平均変化量は下表のとおりであった。52週間投与における低血糖の副作用発現割合は、プラセボで15.6%(14/90例)、本剤10mgで20.9%(18/86例)、本剤25mgで24.4%(22/90例)であり、重度の低血糖はみられなかった。
HbA1c(NGSP値)(%) | |||
| 投与前値 | 52週時の投与前値からの変化量 | プラセボとの差 | |
| プラセボ群(n=90) | 8.70 | 0.01(0.07) | ― |
| 10mg群(n=86) | 8.83 | -0.89(0.07) | -0.90(0.10) |
| 25mg群(n=90) | 8.74 | -0.95(0.07) | -0.96(0.10) |
n:ランダム化された症例数
投与前値からの変化量及びプラセボとの差:調整平均変化量(SE)
(ANCOVA: LOCF)
注)本剤の承認最大用量は25mgである。
遺伝的インスリン抵抗症及び脂肪萎縮性糖尿病患者を対象とした国内医師主導臨床試験
高度なインスリン抵抗性を伴う糖尿病(遺伝的インスリン抵抗症、脂肪萎縮性糖尿病)の日本人患者8例を対象に、本剤10mg(投与12週時にHbA1c値が7.0%以上の場合は25mgに増量)を1日1回52週間経口投与した。投与24週間後及び52週間後におけるHbA1c値(NGSP値)の投与前(平均値:8.46%)からの変化量の平均値±標準偏差はそれぞれ−0.99±0.47%及び−0.55±1.15%であった。
本試験における副作用発現割合は12.5%(1/8例)であり、発現した副作用は低血糖であった。42)
作用機序
腎臓で濾過されたグルコースは近位尿細管に存在するヒトナトリウム-グルコース共役輸送担体2(SGLT2)によってほぼ完全に再吸収され、わずかではあるがSGLT1によっても再吸収される41)。エンパグリフロジンはSGLT2選択的な競合阻害剤で、腎臓によるグルコースの再吸収を阻害することにより尿中グルコース排泄量を増加させ、血糖を低下させる43)。
エンパグリフロジンは腎臓の近位尿細管におけるSGLT2を介して、グルコースだけではなくナトリウム再吸収も抑制するため、遠位尿細管へのナトリウム送達が増加する45)。その結果として、尿細管糸球体フィードバックの増加、心臓の前負荷及び後負荷の減少、並びに交感神経活性の低下など生理的機能に変化を及ぼす可能性がある46),47)。また、エンパグリフロジンの内皮機能に対する直接的作用48)、心臓及び腎臓の代替エネルギー源としてのケトン体供給による代謝への作用49)~51)及び酸化ストレス52),53)、炎症51),53)~59)及びリモデリングの抑制51),53),57),58),60)も慢性心不全及び慢性腎臓病に対する作用に寄与している可能性がある。
薬理作用
SGLT2阻害作用
In vitro試験で、エンパグリフロジンはSGLT2を選択的に阻害し(IC50:1.3nM)、ヒトSGLT1(IC50:6278nM)と比較して約5000倍の選択性を示した52)(in vitro)。
尿中グルコース排泄促進作用
糖尿病モデル動物(db/dbマウス及びZucker糖尿病肥満[ZDF]ラット)において、エンパグリフロジンは単回経口投与により尿中グルコース排泄量(投与後7時間)を増加させた43)。
日本人2型糖尿病患者にエンパグリフロジン1mg、5mg、10mg、25mg又はプラセボを1日1回4週間反復経口投与した注)。エンパグリフロジンはプラセボに比べ投与28日目の投与24時間後までの累積尿中グルコース排泄量を増加させた6)。
血糖低下作用
糖尿病モデル動物(db/dbマウス及びZDFラット)において、エンパグリフロジンは単回経口投与により血糖低下作用を示した43)。さらに、ZDFラットにおいて、エンパグリフロジンは1日1回5週間反復経口投与により、投与22日目(摂食下)及び投与37日目(絶食下)の血中グルコース濃度並びにHbA1cを低下させた53)。
日本人2型糖尿病患者にプラセボ、エンパグリフロジン10mg又は25mgを1日1回24週間反復経口投与した。エンパグリフロジンはプラセボに比べHbA1cを低下させた33)。
注)本剤の承認最大用量は25mgである。
心保護作用
(1)糖尿病モデル動物に対する作用
高脂肪食を摂取させたKK-Ayマウスにエンパグリフロジンを10mg/kg1日1回8週間経口投与した時、心機能の悪化及び心線維化を抑制した50)。
(2)正常血糖の心不全モデル動物に対する作用
雄Sprague-Dawleyラットに冠動脈の永久結紮を行い心筋梗塞を誘発したモデルにおいて、エンパグリフロジンを平均摂取量1日30mg/kgとなるように10週間混餌投与した時、心筋梗塞誘発後の心機能悪化を抑制した54)。雌のヨークシャーブタを用いた虚血再灌流誘発による心筋梗塞モデルにおいても、エンパグリフロジンの2カ月間1日1回10mgの経口投与は、左室収縮及び拡張機能を改善すると共に左室リモデリングを抑制した55)。
腎保護作用
(1)In vitroでのヒト近位尿細管細胞に対する作用
高濃度グルコースに曝露したヒト近位尿細管細胞(HPTC)株を使用したin vitro試験において、エンパグリフロジンは抗酸化、抗リモデリング及び抗炎症作用を示し、上皮間葉転換を抑制した53)。また、生理的グルコース濃度下でのHPTC株を使用したin vitro試験において、エンパグリフロジンはIL-1β刺激による炎症を抑制した55)。
(2)糖尿病を有する腎疾患モデル動物に対する作用
腎疾患を自然発症する雄Ins2+/Akitaマウス及び雌BTBR ob/obマウスにおいて、エンパグリフロジンは腎障害を抑制した(単一ネフロン糸球体濾過量、糸球体血行動態及び糸球体の大きさの正常化、収縮期血圧上昇、糖尿病性腎肥大の分子マーカーの発現及び炎症の抑制、アルブミン尿症の改善等)56),59),65)。また、雄ApoE-/-マウスに高脂肪食を与え、アテローム性動脈硬化症を伴う非タンパク尿性の慢性糖尿病性腎臓病(DKD)を誘導したモデルにおいて、エンパグリフロジンは軽度のアルブミン尿を伴うDKDの徴候を減弱させた51)。
(3)正常血糖の腎疾患モデル動物に対する作用
各種腎疾患モデル動物(LPS誘導急性敗血症性腎障害マウス、5/6腎摘マウス、アンジオテンシンII依存性高血圧ラット、シクロスポリンA誘導腎疾患ラット)において、エンパグリフロジンは腎障害を抑制した(リモデリング、炎症、腎線維化及び交感神経緊張の抑制、血圧、アルブミン尿、血漿中シスタチンC濃度の低下等)51),57),58),60)。
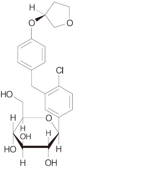
一般的名称:エンパグリフロジン(Empagliflozin)(JAN,INN)
化学名:(1S)-1,5-Anhydro-1-C-{4-chloro-3-[(4-{[(3S)-oxolan-3-yl]oxy}phenyl)methyl]phenyl}-D-glucitol
分子式 :C23H27ClO7
分子量 :450.91
性状:白色から黄白色の粉末である。メタノールにやや溶けにくく、エタノール(99.5)に溶けにくく、水に極めて溶けにくい。
化学構造式:
融点 :150℃±2℃
分配係数:logD(pH7.4)=logP=1.7
医薬品リスク管理計画を策定の上、適切に実施すること。
<ジャディアンス錠10mg>
100錠[10錠(PTP)×10]
700錠[14錠(PTP)×50]
500錠[瓶、バラ]
<ジャディアンス錠25mg>
100錠[10錠(PTP)×10]
- 社内資料:非臨床薬物動態試験(代謝)(2014年12月26日承認、CTD 2.6.4.6)
- 社内資料:非臨床薬物動態試験(代謝)(2014年12月26日承認、CTD 2.6.4.5)
- 社内資料:非臨床薬物動態試験(代謝)(2014年12月26日承認、CTD 2.6.4.5)
- 社内資料:非臨床薬物動態試験(代謝)(2014年12月26日承認、CTD 2.6.4.4)
- Sarashina A. et al.:Drug Metab. Pharmacokinet. 2013;28(3):213-219
- 社内資料:日本人2型糖尿病患者を対象とした4週間反復投与試験(2014年12月26日承認、CTD 2.7.6.3)
- Macha S. et al.:J Diabetes Res. Clin. Metab. 2012;1:14
- 社内資料:食事の影響及び用量比例性試験(2014年12月26日承認、CTD 2.7.6.1)
- 社内資料:日本人2型糖尿病患者を対象とした腎機能障害試験(2014年12月26日承認、CTD 2.7.6.2)
- 社内資料:ヒトADME試験(2014年12月26日承認、CTD 2.7.6.2)
- 社内資料:非臨床薬物動態試験(代謝)(2014年12月26日承認、CTD 2.6.4.5)
- 社内資料:非臨床薬物動態試験(代謝)(2014年12月26日承認、CTD 2.6.4.5)
- 社内資料:非臨床薬物動態試験(代謝)(2014年12月26日承認、CTD 2.6.4.5)
- 社内資料:非臨床薬物動態試験(代謝)(2014年12月26日承認、CTD 2.6.4.5)
- 社内資料:非臨床薬物動態試験(トランスポーター)(2014年12月26日承認、CTD 2.6.4.4)
- 社内資料:非臨床薬物動態試験(トランスポーター)(2014年12月26日承認、CTD 2.6.4.4)
- Macha S. et al.:Diabetes Obes. Metab. 2014;16(3):215-222
- Macha S. et al.:Diabetes Obes. Metab. 2014;16(2):118-123
- 社内資料:2型糖尿病患者母集団薬物動態解析(2014年12月26日承認、CTD 2.7.2.2)
- 社内資料:ゲムフィブロジルとの薬物相互作用試験(2014年12月26日承認、CTD 2.7.6.2)
- 社内資料:リファンピシン及びプロベネシドとの薬物相互作用試験(2014年12月26日承認、CTD 2.7.6.2)
- Macha S. et al.:Int. J. Clin. Pharmacol. Ther. 2013;51(2):132-140
- 社内資料:ピオグリタゾンとの薬物相互作用試験(2014年12月26日承認、CTD 2.7.6.2)
- 社内資料:ピオグリタゾンとの薬物相互作用試験(2014年12月26日承認、CTD 2.7.6.2)
- Brand T. et al.:Adv. Ther. 2012;29(10):889-899
- Friedrich C. et al.:Clin. Ther. 2013;35(1):A33-A42
- Macha S. et al.:Diabetes Obes. Metab. 2013;15(4):316-323
- Macha S. et al.:Clin. Ther. 2013;35(3):226-235
- 社内資料:シンバスタチンとの薬物相互作用試験(2014年12月26日承認、CTD 2.7.6.2)
- 社内資料:利尿薬(ヒドロクロロチアジド及びトラセミド)との薬物相互作用試験(2014年12月26日承認、CTD 2.7.6.2)
- Macha S. et al.:Clin. Drug. Invest. 2013;33(5):351-357
- 社内資料:国内第Ⅱ相用量検討及び長期安全性試験(2014年12月26日承認、CTD 2.7.6.4)
- 社内資料:日本人2型糖尿病患者を含む国際共同第Ⅲ相24週投与試験(2014年12月26日承認、CTD 2.7.6.4)
- 社内資料:国際共同第Ⅲ相延長試験(2014年12月26日承認、CTD 2.7.6.4)
- 社内資料:国内第Ⅲ相併用療法長期投与試験(2014年12月26日承認、CTD 2.7.6.4)
- 社内資料:腎機能障害を有する2型糖尿病患者を対象とした国際共同第Ⅲ相試験(2014年12月26日承認、CTD 2.7.6.4)
- 社内資料:国際共同第Ⅲ相試験(2021年11月25日承認、CTD 2.7.6.1)
- 社内資料:国際共同第Ⅲ相試験
- 社内資料:国際共同第Ⅲ相試験(2024 年 2 月 9 日承認、CTD 2.7.6.1)
- Terauchi Y. et al.: Diabetes Ther. 2019 Jun; 10(3): 951-963
- 社内資料:インスリン製剤との併用療法長期投与試験
- 社内資料:遺伝的インスリン抵抗症及び脂肪萎縮性糖尿病患者を対象とした国内医師主導臨床試験
- Gerich JE.:Diabetic Med.:2010;27:136-142
- 社内資料:非臨床薬効薬理試験(in vivo単回)(2014年12月26日承認、CTD 2.6.2.2)
- Thomson S. C. et al.:Am. J. Cardiol. 2019;124 Supple 1:S28-S35
- Zelniker T. A. et al.:J. Am. Coll. Cardiol. 2018(72):1845-1855
- Griffin M. et al.:Circulation. 2020(142):1028-1039
- Park SH. et al.:Cardiovasc. Diabetol. 2020(19):19
- Oh C. M. et al.:Korean Circ. J. 2019(49):1183-1195
- Abdurrachim D. et al.:Cardiovasc. Res. 2018(114):1843-1844
- Tomita, I. et al.:Cell metabolism 2020 32(3):404–419
- Li C. et al.:Cardiovasc. Diabetol. 2019(18):15
- Das, N. A. et al.:Cellular signalling 2020(68):109506
- Lin B. et al.:Cardiovasc. Diabetol. 2014(13):148
- Pirklbauer, M. et al.:International journal of molecular sciences 2020 21(21):8189
- Gembardt, F. et al.:American journal of physiology 2014 307(3):F317–F325
- Maayah, Z. H. et al.:Inflammopharmacology 2021 29: 269-279
- Castoldi, G. et al.:Acta diabetologica 2021 58(8): 1059–1070
- Vallon, V. et al.:American journal of physiology 2014 306(2):F194–F204
- Castoldi, G. et al.:American journal of nephrology 2020 51(2):119–129
- 社内資料:非臨床薬効薬理試験(in vitro)(2014年12月26日承認、CTD 2.6.2.2)
- 社内資料:非臨床薬効薬理試験(in vivo反復)(2014年12月26日承認、CTD 2.6.2.2)
- Yurista SR et al.:Eur J Heart Fail. 2019(21):862-873
- Santos-Gallego CG et al.:J Am Coll Cardiol. 2019(15):1931-1944
- Kidokoro, K. et al.:Circulation 2019 140(4):303–315
